濾光片光的干涉效應公式解析
干涉濾光片利用光的干涉現象實現對特定波段的選擇性透過或截止。與吸收型濾光片不同,干涉濾光片的光譜特性由膜層的光學厚度和折射率分布決定。因此,干涉效應的數學描述不僅是設計的理論基礎,也是工藝控制的依據。下面我們將從單層薄膜干涉出發,逐步深入到多層膜系的矩陣模型,解析干涉濾光片涉及的各類公式。

一、單層薄膜干涉基礎公式
當光照射到單層薄膜時,在薄膜上下表面產生的兩束反射光(或透射光)會發生干涉。干涉的強弱取決于兩束光之間的光程差。
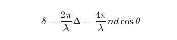
光程差公式:Δ=2ndcosθ
其中:
Δ —— 光程差;
n —— 薄膜折射率;
d —— 薄膜物理厚度;
θ—— 光在薄膜內部的折射角。
相位差公式:

當相位差δ 為π的奇數倍時,反射光干涉相長(反射增強);當 δ 為π的偶數倍時,反射光干涉相消(透射增強)。
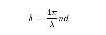
在垂直入射(θ= 0)情況下,公式簡化為:

該公式揭示了膜層光學厚度 nd與波長λ 之間的直接關系,是理解干涉濾光片光譜響應的基礎。
二、中心波長公式
對于由多個光學厚度為 λ/4 的膜層交替堆疊構成的窄帶濾光片,其中心波長 λc由膜層的光學厚度決定:λc= 2 . (nd)
該公式源自法布里-珀羅(Fabry-Pérot)干涉儀的基本原理。在典型的F-P型濾光片中,間隔層的光學厚度通常為中心波長的整數倍(最常見為 λ/2),即nd = λ/2),代入整理即得上述公式。
工藝意義:中心波長公式揭示了膜厚控制與光譜精度的直接關聯。在鍍膜過程中,光學厚度的微小偏差將直接導致中心波長的線性漂移。這解釋了為何膜厚監控是干涉濾光片制造中最關鍵的環節——光控法正是基于對這一公式的實時反饋來實現精密控制。
三、多層膜系特征矩陣模型
實際干涉濾光片通常包含數十層甚至上百層薄膜,簡單的雙光束干涉公式已不足以精確描述其光學行為。目前通用的方法是薄膜光學特征矩陣(也稱傳遞矩陣)模型。
單層膜的特征矩陣:
其中:
δj=2π/λ*Nj*dj*cosθj —— 第 j層膜的相位厚度;
Nj= nj - i kj —— 第j層膜的復折射率(kj為消光系數,表征吸收);
ηj —— 第j層膜的有效光學導納(取決于入射光的偏振態)。
整個膜系的組合特征矩陣:
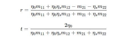
反射系數與透射系數:
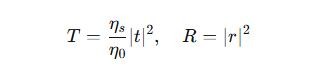
設入射介質導納為 η0,基底導納為ηs,則:
透過率與反射率:
該矩陣模型是所有現代光學薄膜設計軟件(如 TFCalc、Essential Macleod、FilmStar)的底層數學基礎,能夠精確模擬任意復雜膜系的光譜特性。
四、法布里-珀羅窄帶濾光片透射率公式
對于常見的法布里-珀羅型窄帶濾光片,其透射率可近似用艾里函數描述:
其中:
Tmax—— 峰值透過率;
F=4R/(1-R)2—— 精細度系數(Finesse coefficient),R為反射膜的反射率;
Φ—— 光在間隔層內往返一次的相位變化。
公式解讀:
反射率 R越高,F值越大,濾光片的帶寬越窄;
相位 Φ由間隔層的光學厚度決定,直接影響中心波長的位置。
該公式直觀地表明:要實現極窄帶寬(如 0.1 nm),必須使反射膜的反射率 R 無限接近 100%,同時將間隔層的厚度控制精度提升至原子級別。
五、公式與工藝的關聯總結
上述公式不僅構成濾光片設計的理論框架,也直接映射到加工工藝的關鍵控制點:
| 公式 | 工藝關聯 | 決定性參數 |
| δ=( 4π/λ)nd | 干涉條件的實現 | 膜厚d、折射率 n |
| λc = 2nd | 中心波長控制 | 光學厚度監控精度 |
| 特征矩陣模型 | 光譜性能仿真與誤差分析 | 層數、材料常數、厚度分布 |
| T = Tmax/(1+Fsin2(Φ/2)) ) | 帶寬與峰值透過率控制 | 反射率 R、間隔層相位Φ |
從誤差分析角度看,特征矩陣中對 δ =2π/λ*Nd的偏微分,可用于定量評估厚度偏差對光譜漂移的敏感度,為工藝容差設計提供理論依據。
濾光片光的干涉效應公式體系,從單層薄膜的光程差關系,到多層膜系的矩陣模型,再到窄帶濾光片的透射率解析,構成了一個完整且自洽的理論框架。這一框架不僅支撐著干涉濾光片的膜系設計,更直接指導著鍍膜工藝中膜厚監控、折射率控制、均勻性管理等關鍵環節的實踐。